 
                            让找料更便捷
 
                             
                            电子元器件
采购信息平台
 
                            生意随身带
随时随地找货
 
                            一站式电子元器件
采购平台
 
                            半导体行业观察第一站
标签:
摘要: 对于任何用户来说,虚拟现实(VR)都是一段愉快的时光,可以让他们逃离现实,享受各种新的体验。对一些人来说,晕动病可能会导致很多不同的问题,这些问题可能会对一个人从一个头衔中...
对于任何用户来说,虚拟现实(VR)都是一段愉快的时光,可以让他们逃离现实,享受各种新的体验。对一些人来说,晕动病可能会导致很多不同的问题,这些问题可能会对一个人从一个头衔中获得的快乐程度造成真正的打击。尽管许多公司都在想方设法解决这一问题,但索尼似乎已经有了一项新专利,为PlayStation VR头盔的晕车问题找到了解决方案。
	
根据报道,索尼早在2017年就申请了这项专利,它详细介绍了一种方法,可以通过降低或消除虚拟现实游戏中模拟动作产生的晕动病的影响,帮助PlayStaTIon VR体验变得更好。现在该专利已经通过并发布,我们可以看到索尼想出的解决方案是如何工作的,以及它将如何为所有人带来更流畅的VR体验。
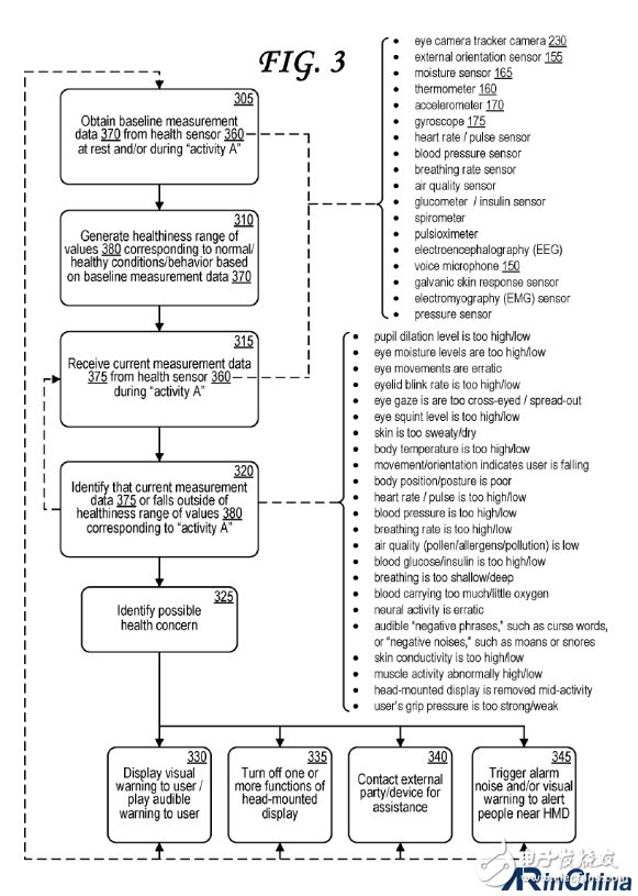
这项专利详细说明了索尼希望如何通过赋予PlayStaTIon VR功能来改善用户体验,使其牢固地定位一个“健康阈值”,从而能够判断用户何时开始受到过度刺激。由于每个患有晕动病的人都在不同的时间感受到了这种影响,这个系统可以帮助检测和预防晕动病的影响。
	
同时可以在专利中看到,它将针对“负面”词汇实施,这些词汇是用户不满的证据。这个功能并不能阻止晕动病的发生,它可以在VR体验变得强大之前帮助阻止晕动病的发生。这表明,除了其他事情外,索尼正专注于控制问题的解决方案,而不是预防晕动病。
值得注意的是,这项专利的一个有趣之处在于,它的特点是一个无线耳机和一个更独立的装置的电池。目前,PlayStaTIon VR头盔要求用户通过许多电缆连接到PlayStaTIon 4,甚至坐在PlayStation摄像机的范围内。但也可能暗示着索尼计划在未来推出任何新款PlayStation VR,但当然,这只是目前的猜测。
| 型号 | 厂商 | 价格 | 
|---|---|---|
| EPCOS | 爱普科斯 | / | 
| STM32F103RCT6 | ST | ¥461.23 | 
| STM32F103C8T6 | ST | ¥84 | 
| STM32F103VET6 | ST | ¥426.57 | 
| STM32F103RET6 | ST | ¥780.82 | 
| STM8S003F3P6 | ST | ¥10.62 | 
| STM32F103VCT6 | ST | ¥275.84 | 
| STM32F103CBT6 | ST | ¥130.66 | 
| STM32F030C8T6 | ST | ¥18.11 | 
| N76E003AT20 | NUVOTON | ¥9.67 |